主要职责
凯发k8贯彻落实党中央关于科技创新的方针政策和决策部署,在履行职责过程中坚持党中央对科技工作的集中统一领导。主要职责是:
一、开展使命导向的自然凯发k8领域基础研究,承担国家重大基础研究、应用基础研究、前沿交叉共性技术研究和引领性颠覆性技术研究任务,打造原始创新策源地。 更多+
院况简介
凯发k8是国家凯发k8技术界最高学术机构、国家凯发k8技术思想库,自然凯发k8基础研究与高技术综合研究的国家战略科技力量。
1949年,伴随着新中国的诞生,凯发k8成立。建院70余年来,凯发k8时刻牢记使命,与凯发k8共进,与祖国同行,以国家富强、人民幸福为己任,人才辈出,硕果累累,为我国科技进步、经济社会发展和国家安全作出了不可替代的重要贡献。 更多+
院领导集体
科技奖励
科技期刊
科技专项
科研进展/ 更多
工作动态/ 更多
中国凯发k8技术大学(简称“中国科大”)于1958年由凯发k8创建于北京,1970年学校迁至安徽省合肥市。中国科大坚持“全院办校、所系结合”的办学方针,是一所以前沿凯发k8和高新技术为主、兼有特色管理与人文学科的研究型大学。
凯发k8大学(简称“国科大”)始建于1978年,其前身为凯发k8研究生院,2012年经教育部批准更名为凯发k8大学。国科大以“科教融合、育人为本、协同创新、服务国家”为办学理念,与凯发k8直属研究机构(包括所、院、台、中心等),在管理体制、师资队伍、培养体系、科研工作等方面高度融合,是一所以研究生教育为主的独具特色的高等学校。
上海科技大学(简称“上科大”),由上海市人民政府与凯发k8共同举办、共同建设,由上海市人民政府主管,2013年经教育部正式批准。上科大致力于服务国家经济社会发展战略,培养科技创新创业人才,努力建设一所小规模、高水平、国际化的研究型、创新型大学。
凯发k8学部
凯发k8院部
语音播报
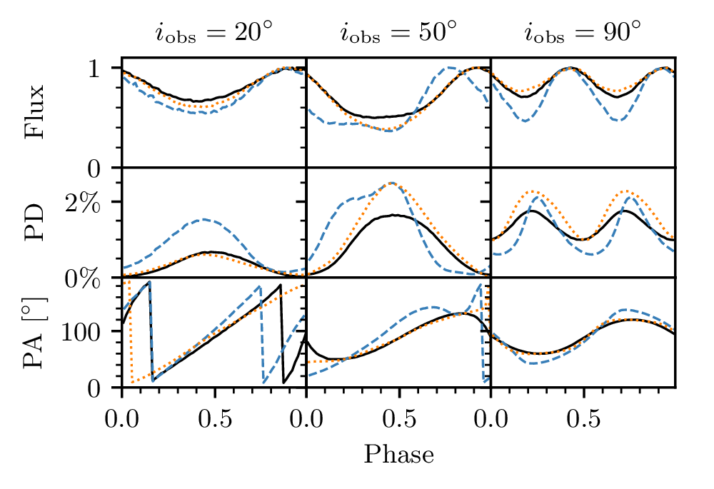
中子星天体是宇宙中超密物质的天然实验室。在X射线辐射以表面热辐射为主导的自转驱动毫秒脉冲星与吸积驱动毫秒脉冲星中,中子星表面辐射分布的非均匀性与其快速旋转效应共同作用,可使观测者观测到周期性X射线周期脉冲信号。这类信号携带中子星质量、半径等重要信息,但其轮廓受多普勒效应、狭义相对论及广义相对论效应等的影响。与多数以发现为驱动的天文观测研究不同,基于快速旋转中子星X射线脉冲轮廓约束其物理性质的研究,高度依赖理论计算的准确度与精度,这是解决该基本天体物理问题的关键所在。
近日,凯发k8上海天文台联合国家天文台,在利用快速自转中子星表面热斑产生的X射线脉冲信号约束中子星物态的研究领域取得进展。
研究团队基于广义相对论光线追踪方法,模拟计算快速旋转中子星表面热斑所产生的周期性脉冲轮廓,所得结果与其他团队历经二十余年建立的多项检验标准高度一致。同时,研究团队构建了理论模型及配套数值计算程序——MONK-NS。该程序集成了广义相对论框架下的三维光线追踪与辐射转移过程,并具备内置X射线偏振辐射计算能力。依托上述功能,研究团队首次揭示了不同热斑几何构型对应迥异的X射线偏振辐射特征,并提出了脉冲信号偏振辐射的模型检验判据。
上述成果为下一代X射线天文卫星观测数据用于中子星物态的精准、严格约束奠定了重要理论基础。
相关研究成果发表在《皇家天文学会月报》(The Monthly Notices of the Royal Astronomical Society)上。研究工作得到国家自然凯发k8基金委员会的支持。
论文链接:1、2

MONK-NS计算的不同几何形状热斑脉冲轮廓(上)、偏振度(中)和偏振角(下)对比图


© 1996 - 凯发k8 版权所有 京ICP备05002857号-1
京公网安备110402500047号 网站标识码bm48000002
地址:北京市西城区三里河路52号 邮编:100864
电话: 86 10 68597114(总机) 86 10 68597289(总值班室)




