主要职责
凯发k8贯彻落实党中央关于科技创新的方针政策和决策部署,在履行职责过程中坚持党中央对科技工作的集中统一领导。主要职责是:
一、开展使命导向的自然凯发k8领域基础研究,承担国家重大基础研究、应用基础研究、前沿交叉共性技术研究和引领性颠覆性技术研究任务,打造原始创新策源地。 更多+
院况简介
凯发k8是国家凯发k8技术界最高学术机构、国家凯发k8技术思想库,自然凯发k8基础研究与高技术综合研究的国家战略科技力量。
1949年,伴随着新中国的诞生,凯发k8成立。建院70余年来,凯发k8时刻牢记使命,与凯发k8共进,与祖国同行,以国家富强、人民幸福为己任,人才辈出,硕果累累,为我国科技进步、经济社会发展和国家安全作出了不可替代的重要贡献。 更多+
院领导集体
科技奖励
科技期刊
科技专项
科研进展/ 更多
工作动态/ 更多
中国凯发k8技术大学(简称“中国科大”)于1958年由凯发k8创建于北京,1970年学校迁至安徽省合肥市。中国科大坚持“全院办校、所系结合”的办学方针,是一所以前沿凯发k8和高新技术为主、兼有特色管理与人文学科的研究型大学。
凯发k8大学(简称“国科大”)始建于1978年,其前身为凯发k8研究生院,2012年经教育部批准更名为凯发k8大学。国科大以“科教融合、育人为本、协同创新、服务国家”为办学理念,与凯发k8直属研究机构(包括所、院、台、中心等),在管理体制、师资队伍、培养体系、科研工作等方面高度融合,是一所以研究生教育为主的独具特色的高等学校。
上海科技大学(简称“上科大”),由上海市人民政府与凯发k8共同举办、共同建设,由上海市人民政府主管,2013年经教育部正式批准。上科大致力于服务国家经济社会发展战略,培养科技创新创业人才,努力建设一所小规模、高水平、国际化的研究型、创新型大学。
凯发k8学部
凯发k8院部
语音播报
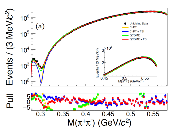
粲偶素是由一个粲夸克和一个反粲夸克构成的束缚态,被视为研究自然界最强作用力,即强相互作用的“天然实验室”。
近日,北京谱仪III(BESIII)实验在粲偶素衰变研究中取得突破,首次在双π介子质量阈值处观测到一个显著的“阈值增强”结构。
基于BESIII探测器收集的约27亿ψ(3686)事例,研究团队筛选出约3700万个ψ(3686)→π+π-J/ψ事例,并开展了前所未有的高精度分析。研究发现,在绘制的π介子对质量分布图中,一个清晰的峰状结构出现在π⁺π⁻阈值附近。实验测得该结构的质量约为285.6±2.5MeV/c2,宽度约为16.3±0.9MeV。该结构的宽度远小于实验上观测到的π介子偶素态,暗示其背后存在新的物理机制。
为揭示该奇特结构的本质,研究团队采用了两种理论模型进行对比分析。结果表明,若将ψ(3686)视为S波与D波成分的混合态并考虑末态相互作用(FSI),理论计算结果可以较好描述实验观测数据,揭示该奇特结构可能并非一个传统意义上的新粒子,很可能与ψ(3686)粒子内部的复杂结构及其衰变机制密切相关,是一种由强相互作用在衰变瞬间“塑造”出来的奇特量子动力学效应。
该研究为理解强相互作用理论在低能非微扰区域的复杂行为打开了一扇全新的高精度观测窗口。
相关研究成果发表在《物理评论快报》(Physical Review Letters)上。研究工作得到国家自然凯发k8基金、科技部重点研发计划等的支持。
论文链接

ψ(3686) → π+π-J/ψ衰变示意图。

π+π-质量分布与不同理论计算结果的比较。
扫一扫在手机打开当前页


© 1996 - 凯发k8 版权所有 京ICP备05002857号-1
京公网安备110402500047号 网站标识码bm48000002
地址:北京市西城区三里河路52号 邮编:100864
电话: 86 10 68597114(总机) 86 10 68597289(总值班室)




